蛋白類藥物如單克隆抗體和抗體偶聯藥物因具有極佳的治療效果與靶向作用正以火箭般的速度飛速發展,但這些藥物為患者帶來健康的同時,也為藥品研發人員帶來更大的壓力。因其在諸多環境暴露下的不穩定性,需要制藥科學家們對藥物質量進行持續監控,以滿足生產和臨床需要。蛋白質在制備,生產和運輸存儲過程中可能面對著如凍融,高溫和震蕩的多重壓力,隨之而來的是對蛋白聚集體增多的擔憂。蛋白聚集會影響藥物安全,嚴重的蛋白聚集還可能增加對患者的免疫源性風險。令人欣慰的是,分子排阻色譜法作為監控蛋白類藥物聚集體的有效檢測手段已經成為一項金標準。我們使用ZF-LC-0001分子排阻色譜(SEC-HPLC)通用流動相對單克隆抗體與抗體偶聯藥物進行分析,獲得了令人非常滿意的效果。
目前SEC-HPLC方法已經標準化,研究人員可以根據蛋白分子量選擇標準的商業化色譜柱進行定量分析,但流動相的選擇通常依賴經驗。這些流動相一般為含鹽的水溶液,調配到一定的pH值后再進行分析。然而含鹽流動相在SEC-HPLC分析過程中會面臨容易長菌的問題,雖然在流動相中加入0.5-1M氯化鈉會產生一定的抑菌效果,但效果有限且可能帶來鹽析堵塞儀器的風險。部分研究人員還會選擇在流動相中加入少許疊氮化鈉來抑制細菌生長,但隨著化學品監管逐漸嚴格,這項手段也成為不可能。在蛋白藥物研發階段,如預制劑處方開發階段,往往需要進行多處方篩選設計與全面的應力實驗,這些應力實驗包括高溫、凍融、光照與振蕩,實驗的全面設計會帶來分析量的增加,如一次頭碰頭SEC-HPLC分析會大于200個樣本(N=3),這使得液相分析的時間大于4天。通常,一個序列的分析中間不可以中斷,若意外中斷會帶來新的校準和系統平衡,且中斷前的數據仍需要進行質量保證評估才可以使用。為了解決這一問題,舟帆生物新推出了一款SEC-HPLC通用流動相(貨號:ZF-LC-0001),可以滿足樣品的持續分析,常規條件下十天之內不會影響分析。

- SEC流動相抑菌效力對比
按照常規配方進行配比制備本次實驗所用不含舟帆生物特有配方流動相。分別將對照組與 ZF-LC-0001流動相(1×)罐裝至干凈透透明的1L流動相瓶中,分別于0, 1, 2, 5, 10天時拍照留樣,記錄圖片如圖1所示。與對照組流動相相比,ZF-LC-0001流動相顯示出優異的抗菌效力。結果顯示對照組流動相于第1天即出現肉眼可見異物,并于第2天現象加重,第5天取樣與第10天取樣拍照后發現兩者狀態相似。ZF-LC-0001流動相直至第10天仍然保持清澈透明。此留樣階段的流動相被用于后面實驗的分析。
圖1. 常規流動相與舟帆生物 ZF-LC-0001 流動相抑菌效力對比
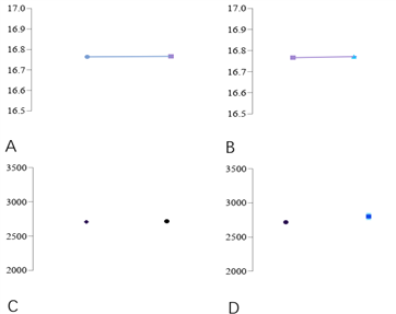
- 日內精密度與日間精密度分析
使用ZF-LC-0001在常規分析環境下放置10天后的流動相,對重組抗人ER2抗體因子單克隆
抗體樣品進行日內精密度與日間精密的分析見圖2。數據表明流動相在放置10天后仍然有非常好的日內精密度與日間精密度:[保留時間(Time)與總峰面積(mAU)分別為圖A, C],以區分序列間日內的精密度。后3份于第2日進樣一個輪次,與第1日第二輪次進樣進行日間精密度的對比(保留時間與總峰面積分別為圖B, D)。
圖2. 舟帆生物ZF-LC-0001流動相日內精密度和日間精密度
- 數據準確性高
使用ZF-LC-0001分析重組抗人ER2抗體因子單克隆抗體8個進樣量梯度的過程,R2=0.9999,數據表明,在儀器最大分析限度內,進樣梯度的變化對數據的準確性影響較小。


圖3. 舟帆生物ZF-LC-0001流動相線性及進樣量與總峰面積數據
- 廣泛的樣品兼容性
使用ZF-LC-0001分析了5個單克隆抗體與2個抗體偶聯藥物的分子排阻色譜,我們將7個蛋白藥物全部使用純水稀釋至1mg/mL,統一進樣,結果如圖4所示,表明了ZF-LC-0001流動相無論在一般的單克隆抗體藥物或是疏水性較強的抗體偶聯藥物中均可以達到普適性分析的效果,并且對于低濃度進樣,蛋白聚集體與單體仍然顯示出極好的分離度和分辨率。
圖4. 5種單克隆抗體與2種抗體偶聯藥物在低濃度下進樣的SEC色譜圖
- 改善分析圖譜
除此之外,與常規流動相比,使用ZF-LC-0001能獲得更加完美的峰形,如圖5所示,峰寬更窄,拖尾得到改善,這樣可有效避免為減少拖尾向流動相中加入有機溶劑,從而進一步避免溶液鹽析堵塞分析系統,造成序列意外終止的風險。
圖5. 使用ZF-LC-0001與常規高鹽流動相的SEC色譜圖對比(樣品分別為2種mAb與2種ADC藥物)
綜上所述,舟帆生物新推出的SEC-HPLC通用流動相(貨號:ZF-LC-0001)具有以下突出優勢:
- 卓越的抗菌能力,有效保護貴重儀器與高價值耗材不會在分析過程中受損;
- 優異的穩定性,在分析條件下放置10天后仍能達到令人滿意的日內和日間穩定性與可觀的線性數據;
- 廣泛的樣品兼容性,適用于分析單抗、ADC、重組蛋白與多肽(此部分數據未展示)等多種蛋白類藥物;
- 改善圖譜峰型,優化拖尾問題;
- 使用方便,對人體無毒害且環境友好。
產品訂購信息:
貨號 |
品名 |
規格 |
ZF-LC-0001 |
SEC通用流動相試劑盒(10×) |
1000 ml |
試用申請:
SEC通用流動相試用裝(100ml)火熱申請中,如您對上述產品感興趣,請關注“西美杰微信公眾號”,發送關鍵詞“SEC”,填寫問卷即可獲得免費試用機會,數量有限,先到先得!
杭州舟帆生物科技有限公司成立于2018年,擁有一支高效的研發團隊,是一家專注于生物科技領域的公司。公司在蛋白質藥品工藝開發和優化、分子診斷等領域擁有豐富的經驗和技術優勢。我們的產品包括商業化毛細管凝膠電泳檢測試劑盒、高效液相色譜離子交換檢測試劑盒、細胞培養試劑、分子診斷試劑等。這些產品廣泛應用于生命科學研究、藥物開發等領域,與眾多知名研究機構和企業建立了緊密的合作關系,共同推動生物科技的發展和應用。

參考文獻:
Liu JZ, Li L, Fang WJ*. A novel size exclusion chromatography method for the analysis of monoclonal antibodies and antibody-drug conjugates by using sodium iodide in the mobile phase. Pharm Res, 2024, in press.